swedish study shows covid vaccines drop below zero efficacy on spread by about 200 days
protection from severe covid dropped as well.
the swedes just did a large vaccine study using 842,972 pairs of people (1.7 million total). each pair had one vaxxed, one unvaxxed. it’s currently a preprint for “the lancet.” you can grab it HERE.
this was a retrospective study, but one in which the matching of cohorts was pretty good which improves the evidence quality quite a bit. it’s not a full RCT, but it’s a lot better than most of what’s getting published right now.
age was about the same, comorbidities similar, and gender near exact. the only major variance seems to be that 10% of vaxxed vs 4% of unvaxxed were “homemaker service” which looks to be the high risk “assisted living” group. also, 84% of vaxxed were born in sweden vs 69% of unvaxxed. given the higher covid rates in immigrants, this seems to favor vaccines. so too does the usual definitional game of only counting those who are 14 days or more after a second dose as vaccinated.
homemaker slants against vax, foreign born slants for it as does the definition of vaccinated. this all looks like it’s reasonably close to a wash out but still probably favors vaxx overall.
but even with this, the results look BAD.
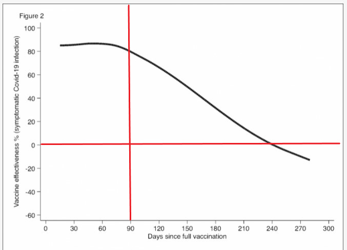
vaccines start off reasonably effective, but they fade very quickly. this has long been a criticism and a complaint about the shortness of the drug trials on which their approval was based and the elimination of their control groups to prevent long term study.
companies like pfizer are VERY good at clinical trials.
they do not make mistakes. they make choices.
and given these longer term results, it seems clear why they chose to run short trials and then eliminate the control groups after about 90 days. because that’s when things start to go off the rails.
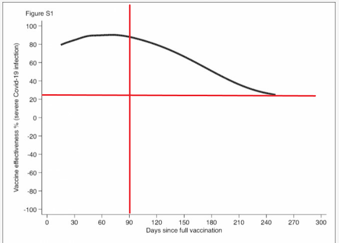
this becomes obvious in the curves from the study:
the downslope in efficacy against symptomatic infection is just starting right where pfizer and moderna ended their trials and vaccinated the control groups to make future comparison impossible. (red vertical line added by me)
out around 240 days (red horiz line added by me) it goes negative.
note that this is symptomatic only data, not “any found infection.” the fact that the VE is (despite being negative) is still far higher than negative VE’s seen in “all cases” in the UK interests me. this may imply a large group of vaccinated asymptomatic carriers.
it also raises questions about whether the vaccines ever provide ANY sterilizing immunity at all or if they merely prevent symptoms. recall that both the mRNA drug trials only tested those reporting symptoms for covid to assess efficacy.
again, seems like a choice, not an error.
but this is all well known. the evidence that vaccines fail to stop spread has been clear for some time and not even the CDC argues it anymore.
what this study added that was terribly interesting was data on the prevention of severe covid. and this too drops rapidly.
we see similar topology to that of symptomatic cases. at around 90 days, drop in efficacy is becoming noticeable. it’s under 50% by 6 months. by 250 days, it looks to be about 25%.
this is considerably lower than my population scale estimates for the UK as a whole, likely because the UK as a whole has not had 240 days to lose efficacy. weighted avg for all ages in UK on emergency care need for dose 2 plus 14 days only looks to be about 38% to me (for 1st 2 weeks of sept)
this swedish data alone is not good. there is more fade here than in an 80’s hip hop barber shop.
but there’s more:
this is symptomatic cases: after 180 days, you’re at 5% VE fully adjusted (far right column) for over 80’s and 15% for any with comorbidities. and as the chart above shows, it drops rapidly from there.
i’d love to see the subset data and plots. that badly needs to be included.
hospitalization and death dropped as well (and this looks worse in subset numbers). worst of all, it drops most in the most vulnerable. the people who most need protection get the most rapid fade/least efficacy.
death/hosp is here. full VE is, again, the far r hand column. note that the confidence intervals here are WIDE so we may need to be a bit cautions with this. not sure why precision is so low on such a big study.
again, these are averages of the post 180 day curve and so look better than actual levels out of 240 days etc. as seen in the graph above.
but again, we see a BIG drop in VE for those with comorbidities. (58 vs 75)
oddly, it seems to work much less well in men. this is interesting as many side effects (like myocarditis) are also far more pronounced in men.
it’s hard to dig into the specifics too much because the key death/hosp tables are mis-formatted in the preprint. they look like this:
assuming this is correct and can be read as seen, it looks like VE was deeply negative in women over 50, but this seems out of line with other data and i’m not really sure what to make of it. it may just be gibberish generated by formatting.
these guys really ought to release their whole dataset so we can play with it.
this may be also affected by the sweden definitions where any death for any reason within 30 days of a covid diagnosis is called a covid death. this makes it track more inclusively than many other places, but with a vaccine with such high side effect profiles, that may be the more relevant metric.
it would have been nice to add all cause mortality in these two groups as a measure as well.
i wonder if it was avoided because it it conflicted with the conclusions the authors wanted to draw (lest they be banished from the grant money gravy train) which were, of course:
but there seems to be quite a strong argument to the contrary. this means that the efficacy of these vaccines wanes VERY rapidly. you’d need to boost every 3 months to keep it high and every 6 to keep it about about 30% on symptomatic infection and 45% on hospital/death.
so you’re rebuying immunity every 3-6 months, taking the adverse event risk again, and using it to avoid an outcome (getting covid) that is not terribly dangerous for most and thus getting very little absolute risk reduction (detailed discussion here). this was already a bad bet for most under 50 and pretty much anyone without comorbidities.
but having to make the bet, over and over, just to stand still means that eventually, it’s a bad bet for anyone because once you get covid, you rarely get it again and when you do, it’s mild. acquired immunity from recovery is FAR superior to vaccinated immunity and looks to be actually sterilizing as well so you’ll stop being a spread vector. (though there is an argument that getting vaxxed prevents you from generating that sterilizing immunity from later exposure through OAS)
you cannot make a case for boosters by looking at efficacy alone, especially when “50% VE” actually maps to “half of 1% for under 50’s or 1/10th of 1% or less if under 50 and healthy.”
it does not take a lot of side effects to swamp that, especially if you have to keep running the risk over and over to avoid what is basically a one time outcome.
there is also an argument that leaky vaccines are causing superspread while at the same time actually making the virus worse by inverting its evolutionary gradient.
if those are true, the fact that efficacy fades here is the best news we have. we need to stop boosting and let it run down so we stop breeding for hotter strains that make us all worse off. (even the vaxxed) (source is second link above)
the simple fact is this: rushing vaccines of a brand new type never before used in humans (but known to be problematic in animals) was always a deeply bad idea.
we had no idea how this was going to play out.
the trials were short and rigged to mask fade and side effects while overstating efficacy. VE was used instead of absolute risk reduction, and cost/benefit was not even considered.
the immunity was supposed to be sterilizing. it’s not.
the effects were supposed to be strong. they aren’t.
the efficacy was supposed to be durable. it isn’t.
they were supposed to protect the most vulnerable. but that’s who they work least well on.
and yet the one note flute of public health keeps pushing and mandating them despite all these new learnings that run counter to all the assumptions they made when proposing this policy.
the CDC told us it would stop spread.
getting probably the most important salient of all totally wrong really ought to lead to a policy reassessment, not a doubling down.
and the adverse events are FAR in excess of any other vaccines approved in FDA history.
having called this safe should lead to a massive search for what else you missed.
is there even a cessation condition here? is there any data that would lead the FDA to rethink or the politicians and health agencies to stop these programs?
because it looks to me like “more boosters!” is the answer to every question.
that’s not the sign of evidence based medicine.
that’s the sign of a cult.













"we had no idea how this was going to play out."
as i recall, the people who suspected how it would play out were very quickly silenced.
The good news is that I didn't take the vaccine and it has been 100 percent effective for me.