the monkey-business of "online experts"
watch as the credentialed class makes a fool of itself on twitter
did you ever think to yourself “hey, do all these endless experts and alleged epidemiologists on twitter seem like they mostly push false, sensationalist narrative”?
is disease twit mostly just twits?
do any of these folks with stings of letters after their names long enough to be highly secure passwords for a bitcoin wallet actually have any sort of track record for getting things right?
we sure do hear a lot of “trust the experts!”
but should we?
well, pull up a chair and wonder no more:
here’s a fun and provocative little study:
now, i will be the first to admit that i came into reading this study a bit suspect. “true” and “false” on data can be a tricky thing to gauge with nuance and the situation is often complex and open to interpretation. but this seems like probably it’s not the case here and that the actual truth standard looks quite binary and quite clear.
so let’s have a look at the business of money business.
remember the monkey pox “epidemic” and all the zika/dengue/ebola gonna come and get you vibes about how it was going to rampage through schools (despite never doing so before) instead of just being an idiosyncratic series of outbreaks almost entirely confined to a few groups of highly promiscuous fellows having male to male sex with large numbers of partners?
it was quite the thing there for a minute before it disappeared from view like so many other flashes in the pan when it failed to live up to billing and refused to spread in schools or really anywhere else. at all. and this is what actually makes this look like a good topic to assess expert opinion with.
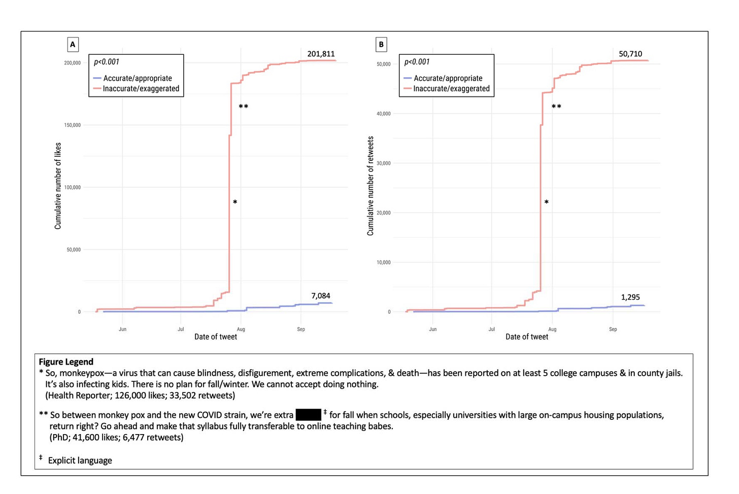
so they authors searched twitter for content on monkeypox and schools, because claiming it would spread there was basically a true/false test with obvious accuracy.
they confined the search to “experts.”
the results were about what you would expect:
inaccurate claims were 4.6X more frequent that accurate ones and when adjusted for follower count this led to 974X more exposure for false claims.
let that one sink in. if you grabbed a tweet on schools and monkeypox from “an expert” at random on a follower weighted basis, it had a 99.897% chance of being wrong.
truly, the mind boggles. it’s all static no signal. it’s so incredibly wrong and always in the direction of “exaggerating and overblowing risk” that a simple heuristic of “do the opposite of what experts say” is a near perfect outcomes driver.
amazingly, this gets even MORE stark of you exclude health reporters who seem to be the only ones with a winning record on correct vs wrong here.
astonishingly, of the tweets that were right (47) it looks like close to 1/3 were from one author. so who you follow really does matter.
the other amazing thing to see is just how parabolic the contagion was in terms of folks suddenly fixating upon and liking the “experts” telling tall tales.
look at the speed with which it happens. attention focus goes exponential and it’s basically all wrong. you get a tiny little echo of refutation later.
it would be amusing to see how this trended amongst the “high follower ameteur” crowd.
i suspect they once more wiped the floor with the wizards of woo-woo.
as a final pass, take a look at the sort of info in the tweets. the obvious issue to address in a study design like this is “well, you’re deciding what is and isn’t true so it’s subjective!” and this would normally be a very fair criticism. it seems inapt here however as this was never a threat to kids and schools, had zero history of spreading there, and in the event did not spread there, so claims like this are easy to assess:
this next one is my favorite:
“inevitably” is such a fun word when what you’re predicting fails to occur, isn’t it?
the “experts” on twitter have once more beclowned themselves.
it’s enough to make one suspect that there is some sort of powerful selector for the credentialed classes that crisis tweet ensuring that only the least informed and worst calibrated come to prominence and they they do it chasing likes, fame, and attention and not in the name of science and providing sound advice.
no wonder they never want to fight “the amateurs”…
it also seems that people love to follow them and that we have something of an unhealthy co-dependence here where the twitter readers clamor for crisis so they can be frightened and busy and signal concern and virtue and the “experts” get drunk on this and thus pander to it. they all want some “current thing” to obsess about.
it’s rough way to live and an even rougher way to try to get the information you need to make decisions.
why, it’s almost as if “expertise in eliciting panic” is not the skillset one should select for when seeking health advice.
questions worth asking…













There are essentially no consequences for them if they get things wrong. Sure, in theory, their reputation can suffer, but people's memories are short, and in all probability the same is true of the experts themselves, who conveniently forget all the times their "feels over reals" epistemological yardstick led them astray. Easy to forget when it keeps getting you engagement.
If Musk wanted to really improve his platform, he should expand the community notes feature to include some kind of prediction tracking. "While it is too early to tell if this prediction is accurate, this account has a 5.3% accuracy rating based on previous tweets."
But what would the numbers be if we controlled for the Eric Feigl-Ding factor?!?